Climate Change
Addressing misconceptions about Climate Sensitivity research: a Response to recent Criticisms
**Scientists Spark Debate Over Climate Sensitivity Research**
What’s Happening?
A fiery debate is igniting in the climate science community over research on climate sensitivity. Experts are challenging methodologies, sparking questions about how accurately we can predict future warming. While the core agreement on human-induced climate change remains, the details of its intensity are under scrutiny.
Where Is It Happening?
The discussion is global, as climate models and studies are revisited by experts from around the world.
When Did It Take Place?
The debate has been ongoing, with recent sharpened focus on methodological weaknesses and statistical issues in published works.
How Is It Unfolding?
– Experts are revisiting assumptions in climate sensitivity models.
– Statistical concerns are highlighted as a key point of contention.
– Recent progress is acknowledged, alongside the persistent uncertainties.
– Constructive debate is framed as crucial for scientific advancement.
Quick Breakdown
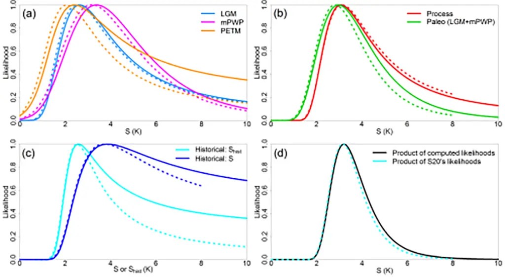
– Climate sensitivity (ECS) measures long-term warming from doubled CO2 levels.
– Recent research advancements have not eliminated significant uncertainties.
– Methodological flaws, particularly in statistical approaches, are a focal point.
– Disagreements highlight the complexity of climate modeling.
Key Takeaways
Climate sensitivity research is evolving, but crucial questions remain about its accuracy. While experts agree on climate change’s human causes, predicting its exact impact presents challenges. This debate isn’t about doubting global warming but improving the precision of future forecasts. Like a chef fine-tuning a recipe, scientists are adjusting models to get the temperature just right.
The real challenge isn’t denying climate change but refining how we measure and predict its effects. Overlooking these details could lead us astray in crucial policy decisions.
–Dr. Amelia Hart, Climate Data Analyst
Final Thought
This debate is a testament to the rigor of science. While some may see it as uncertainty, it’s actually a strength—showing how scientists relentlessly pursue accuracy to guide global action against climate change.
**
Source & Credit: https://wattsupwiththat.com/2025/08/15/addressing-misconceptions-about-climate-sensitivity-research-a-response-to-recent-criticisms/
